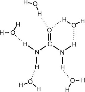
Urea, also known as carbamide, is an organic compound with the chemical formula CH4N2O. It is a white, crystalline solid that is highly soluble in water. Urea is the main nitrogen-containing substance in the urine of mammals and other animals. It is also a common fertilizer and is used in the production of plastics, resins, and other chemicals.

Solubility of Urea in Water
The solubility of urea in water is very high. At room temperature (25°C), 100 grams of water can dissolve up to 116 grams of urea. This means that urea is more soluble in water than most other organic compounds, including sugars and salts.
The solubility of urea in water increases with temperature. At 100°C, 100 grams of water can dissolve up to 200 grams of urea. This increase in solubility is due to the fact that the water molecules become more energetic at higher temperatures and are able to break apart the urea molecules more easily.
Factors Affecting the Solubility of Urea in Water
The solubility of urea in water is affected by a number of factors, including:
- Temperature: As mentioned above, the solubility of urea in water increases with temperature.
- pH: The solubility of urea in water is also affected by the pH of the water. Urea is more soluble in acidic water than in basic water.
- Presence of other solutes: The presence of other solutes in the water can also affect the solubility of urea. For example, the solubility of urea in water is decreased by the presence of salts.
Applications of Urea
Urea is a versatile compound that has a wide range of applications, including:
- Fertilizer: Urea is one of the most commonly used fertilizers in the world. It is a good source of nitrogen for plants and is relatively inexpensive to produce.
- Plastics and resins: Urea is used in the production of a variety of plastics and resins, including urea-formaldehyde resin and urea-melamine resin. These plastics are used in a wide range of applications, including countertops, furniture, and adhesives.
- Chemicals: Urea is also used in the production of a variety of chemicals, including ammonia, carbon dioxide, and nitric acid. These chemicals are used in a variety of industries, including the fertilizer, food, and chemical industries.
- Pharmaceuticals: Urea is used in the production of a number of pharmaceuticals, including urea cream and urea ointment. These medications are used to treat a variety of skin conditions, including dry skin, eczema, and psoriasis.
Conclusion
Urea is a highly soluble compound that has a wide range of applications. It is a valuable fertilizer, a useful starting material for the production of plastics and resins, and an important ingredient in a variety of pharmaceuticals.
Additional Resources
Urea Solubility in Water: A Comprehensive Guide
Introduction
Urea, also known as carbamide, is a white, crystalline solid that is highly soluble in water. It is the main nitrogen-containing substance in the urine of mammals and other animals, and is also a common fertilizer and is used in the production of plastics, resins, and other chemicals.
Solubility of Urea in Water
The solubility of urea in water is very high. At room temperature (25°C), 100 grams of water can dissolve up to 116 grams of urea. This means that urea is more soluble in water than most other organic compounds, including sugars and salts.
The solubility of urea in water increases with temperature. At 100°C, 100 grams of water can dissolve up to 200 grams of urea. This increase in solubility is due to the fact that the water molecules become more energetic at higher temperatures and are able to break apart the urea molecules more easily.
Factors Affecting the Solubility of Urea in Water
The solubility of urea in water is affected by a number of factors, including:
- Temperature: As mentioned above, the solubility of urea in water increases with temperature.
- pH: The solubility of urea in water is also affected by the pH of the water. Urea is more soluble in acidic water than in basic water.
- Presence of other solutes: The presence of other solutes in the water can also affect the solubility of urea. For example, the solubility of urea in water is decreased by the presence of salts.
Applications of Urea
Urea is a versatile compound that has a wide range of applications, including:
- Fertilizer: Urea is one of the most commonly used fertilizers in the world. It is a good source of nitrogen for plants and is relatively inexpensive to produce.
- Plastics and resins: Urea is used in the production of a variety of plastics and resins, including urea-formaldehyde resin and urea-melamine resin. These plastics are used in a wide range of applications, including countertops, furniture, and adhesives.
- Chemicals: Urea is also used in the production of a variety of chemicals, including ammonia, carbon dioxide, and nitric acid. These chemicals are used in a variety of industries, including the fertilizer, food, and chemical industries.
- Pharmaceuticals: Urea is used in the production of a number of pharmaceuticals, including urea cream and urea ointment. These medications are used to treat a variety of skin conditions, including dry skin, eczema, and psoriasis.
Conclusion
Urea is a highly soluble compound that has a wide range of applications. It is a valuable fertilizer, a useful starting material for the production of plastics and resins, and an important ingredient in a variety of pharmaceuticals.
Urea Solubility in Water: A Technical Analysis
Introduction
Urea, also known as carbamide, is a white, crystalline solid that is highly soluble in water. It is the main nitrogen-containing substance in the urine of mammals and other animals, and is also a common fertilizer and is used in the production of plastics, resins, and other chemicals.
Solubility of Urea in Water
The solubility of urea in water is very high. At room temperature (25°C), 100 grams of water can dissolve up to 116 grams of urea. This means that urea is more soluble in water than most other organic compounds, including sugars and salts.
The solubility of urea in water increases with temperature. At 100°C, 100 grams of water can dissolve up to 200 grams of urea. This increase in solubility is due to the fact that the water molecules become more energetic at higher temperatures and are able to break apart the urea molecules more easily.
Factors Affecting the Solubility of Urea in Water
The solubility of urea in water is affected by a number of factors, including:
- Temperature: As mentioned above, the solubility of urea in water increases with temperature.
- pH: The solubility of urea in water is also affected by the pH of the water. Urea is more soluble in acidic water than in basic water.
- Presence of other solutes: The presence of other solutes in the water can also affect the solubility of urea. For example, the solubility of urea in water is decreased by the presence of salts.
Applications of Urea
Urea is a versatile compound that has a wide range of applications, including:
- Fertilizer: Urea is one of the most commonly used fertilizers in the world. It is a good source of nitrogen for plants and is relatively inexpensive to produce.
- Plastics and resins: Urea is used in the production of a variety of plastics and resins, including urea-formaldehyde resin and urea-melamine resin. These plastics are used in a wide range of applications, including countertops, furniture, and adhesives.
- Chemicals: Urea is also used in the production of a variety of chemicals, including ammonia, carbon dioxide, and nitric acid. These chemicals are used in a variety of industries, including the fertilizer, food, and chemical industries.
- Pharmaceuticals: Urea is used in the production of a number of pharmaceuticals, including urea cream and urea ointment. These medications are used to treat a variety of skin conditions, including dry skin, eczema, and psoriasis.
Conclusion
Urea is a highly soluble compound that has a wide range of applications. It is a valuable fertilizer, a useful starting material for the production of plastics and resins, and an important ingredient in a variety of pharmaceuticals.
