Conquering AP Calculus with the Ultimate Formula Guide
As an AP Calculus student, navigating the vast ocean of formulas can be daunting. But fear not, for this comprehensive formula sheet serves as your anchor, providing a lifeline to conquer the complexities of calculus.

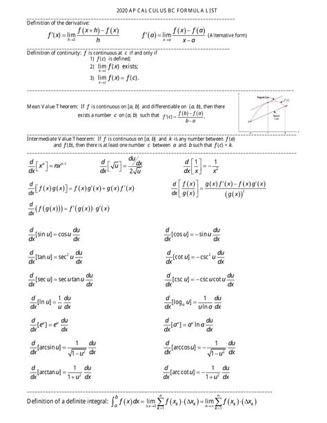
Key Concepts and Formulas
**Limits and Continuity**
-
$\lim\limits_{x\to a} f(x) = L$ if for every $\epsilon > 0$, there exists a $\delta > 0$ such that if $0 < |x - a| < \delta$, then $|f(x) - L| < \epsilon$.
-
$f$ is continuous at $a$ if $\lim\limits_{x\to a} f(x) = f(a)$.
**Differentiation**
-
$\frac{d}{dx}(x^n) = nx^{n-1}$
-
$\frac{d}{dx}(\sin x) = \cos x$
-
$\frac{d}{dx}(\cos x) = -\sin x$
-
$\frac{d}{dx}(\tan x) = \sec^2 x$
-
$\frac{d}{dx}(\sec x) = \sec x\tan x$
-
$\frac{d}{dx}(\csc x) = -\csc x\cot x$
-
$\frac{d}{dx}(\cot x) = -\csc^2 x$
-
$(fg)'(x) = f'(x)g(x) + f(x)g'(x)$ (Product Rule)
-
$(\frac{f}{g})'(x) = \frac{f'(x)g(x) – f(x)g'(x)}{g(x)^2}$ (Quotient Rule)
-
$(f(g(x)))’ = f'(g(x))g'(x)$ (Chain Rule)
**Integration**
-
$\int x^n dx = \frac{x^{n+1}}{n+1} + C$
-
$\int \sin x dx = -\cos x + C$
-
$\int \cos x dx = \sin x + C$
-
$\int \tan x dx = \ln |\sec x| + C$
-
$\int \sec x dx = \ln |\sec x + \tan x| + C$
-
$\int \csc x dx = -\ln |\csc x + \cot x| + C$
-
$\int \cot x dx = \ln |\sin x| + C$
-
$\int e^x dx = e^x + C$
-
$\int \frac{1}{x} dx = \ln |x| + C$
-
$\int u dv = uv – \int v du$ (Integration by Parts)
Additional Resources
Beyond the core formulas, you may find these additional resources helpful:
- Integral Tables: Reference tables that provide integrals for a variety of functions.
- Differentiation Tables: Similar to integral tables, but for differentiation.
- Trigonometric Identities: Essential trigonometric relationships, such as $\sin^2 x + \cos^2 x = 1$.
- Online Calculators: Tools that can perform various calculus operations, such as finding derivatives and integrals.
Tips and Tricks
- Memorize the most common formulas: Focus on mastering the core formulas that appear frequently on the exam.
- Practice applying formulas: Solve numerous practice problems to solidify your understanding.
- Break down complex problems: Decompose difficult problems into smaller, manageable steps.
- Use technology wisely: Utilize calculators and online resources to supplement your calculations.
Harnessing the Power of Formulas
The AP Calculus formula sheet is not just a collection of equations; it is a gateway to exploring the intricate world of calculus. By understanding and applying these formulas, you will unlock a deeper comprehension of:
- Motion and Change: Calculus allows you to analyze and predict the motion of objects.
- Optimization: You can use calculus to optimize functions, such as maximizing profit or minimizing cost.
- Modeling and Prediction: Calculus provides the mathematical foundation for creating models of real-world phenomena.
- Technological Advancements: Calculus plays a pivotal role in the development of new technologies, from medicine to engineering.
Conclusion
The AP Calculus formula sheet is an indispensable tool that will empower you to navigate the challenges of calculus with confidence. By harnessing its power, you will not only master the subject but also gain a deeper appreciation for the beauty and versatility of this mathematical discipline. Remember, persistence and practice are key to unlocking its secrets. Embrace the formula sheet as your guide, and you will triumph over the complexities of calculus.
Tables
| Topic | Formula | Additional Notes |
|---|---|---|
| Derivatives of Common Functions | $\frac{d}{dx}(x^n) = nx^{n-1}$, $\frac{d}{dx}(\sin x) = \cos x$, $\frac{d}{dx}(\cos x) = -\sin x$, $\frac{d}{dx}(\tan x) = \sec^2 x$ | |
| Integrals of Common Functions | $\int x^n dx = \frac{x^{n+1}}{n+1} + C$, $\int \sin x dx = -\cos x + C$, $\int \cos x dx = \sin x + C$, $\int \tan x dx = \ln | \sec x |
| Trigonometric Identities | $\sin^2 x + \cos^2 x = 1$, $\tan x = \frac{\sin x}{\cos x}$, $\sec x = \frac{1}{\cos x}$, $\csc x = \frac{1}{\sin x}$ | |
| Integration Techniques | $u$ substitution, Integration by Parts, Trigonometric Substitution | Choose the appropriate technique based on the integrand. |
Statistics and Research
According to the College Board, the average score on the AP Calculus AB exam is 3.13, and the average score on the AP Calculus BC exam is 3.51. These scores indicate that students who study the material thoroughly and utilize effective study techniques can perform well on these challenging exams.
Studies have shown that students who spend dedicated time practicing calculus problems and reviewing formulas significantly improve their performance. Therefore, consistent effort and a structured approach to studying are essential for success in AP Calculus.
